Taking The TOEIC Skills and Strategies 2
| Site: | イングリッシュセンターオンライン |
| Course: | Taking the TOEIC Skills and Strategies 2 Intermediate |
| Book: | Taking The TOEIC Skills and Strategies 2 |
| Printed by: | Guest user |
| Date: | Tuesday, 7 April 2026, 1:37 AM |
Description

Table of contents
- Chapter 1 Listening Practice Part 1 Photographs
- Chapter 1 Listening Practice Part 2 Questions and Responses
- Chapter 1 Listening Practice Part 3 Short Conversations
- Chapter 1 Listening Practice Part 4 Short Talks
- Chapter 2 Grammar Practice 1 Parts of Speech
- Chapter 2 Grammar Practice 2 Tenses
- Chapter 2 Grammar Practice 3 Voice
- Chapter 2 Grammar Practice 4 Agreement
- Chapter 2 Grammar Practice 5 Infinitives and Gerunds
- Chapter 2 Grammar Practice 6 Participles and Participle Clauses
- Review Test 1
- Chapter 2 Grammar Practice 7 relative Clauses
- Chapter 2 Grammar Practice 8 Conjunctions and Prepositions
- Chapter 2 Grammar Practice 9 Modification
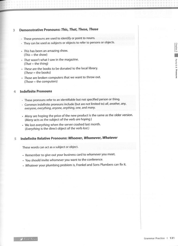
- Chapter 2 Grammar Practice 10 Pronouns
- Chapter 2 Grammar Practice 11 Comparisons
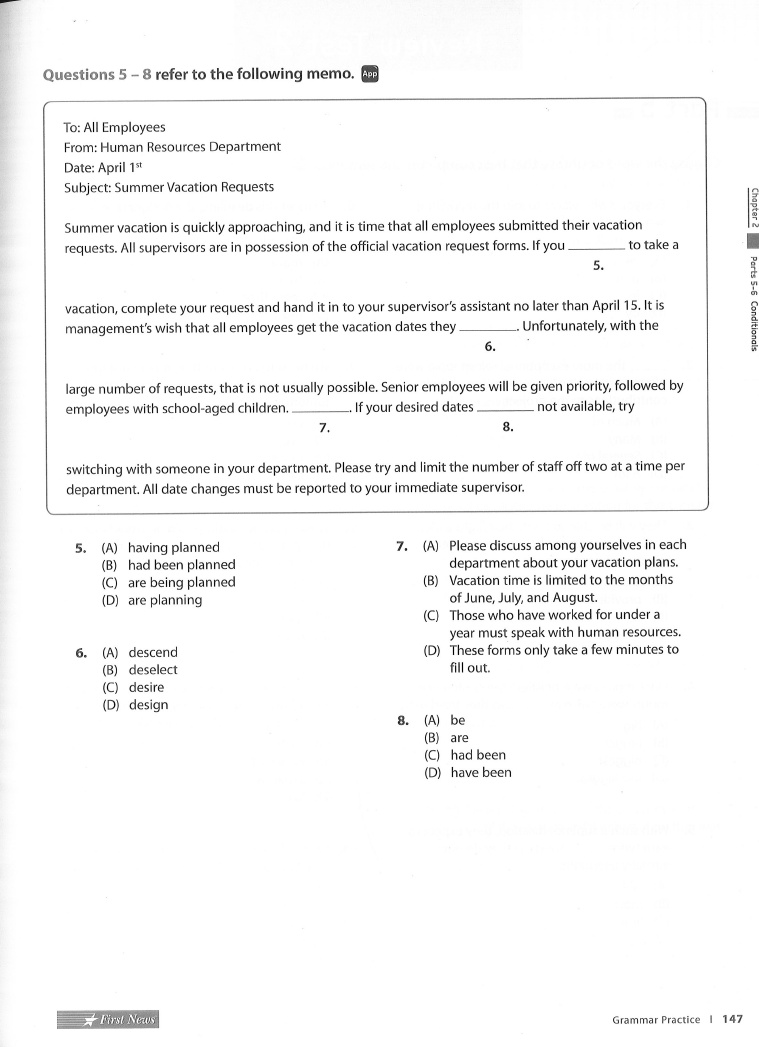
- Chapter 2 Grammar Practice 12 Conditionals
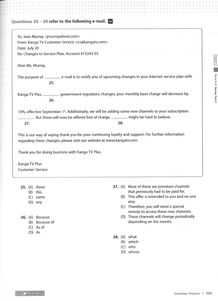
- Review Test 2
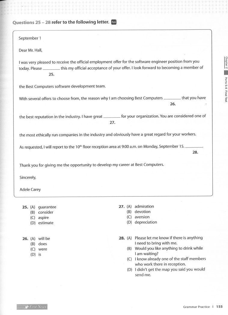
- Final Test
- Chapter 3 Reading Practice
- Chapter 4 Practice Test
Chapter 1 Listening Practice Part 1 Photographs


















Chapter 1 Listening Practice Part 2 Questions and Responses






Chapter 1 Listening Practice Part 3 Short Conversations












Chapter 1 Listening Practice Part 4 Short Talks




















Chapter 2 Grammar Practice 1 Parts of Speech






Chapter 2 Grammar Practice 2 Tenses






Chapter 2 Grammar Practice 3 Voice






Chapter 2 Grammar Practice 4 Agreement






Chapter 2 Grammar Practice 5 Infinitives and Gerunds






Chapter 2 Grammar Practice 6 Participles and Participle Clauses






Review Test 1




Chapter 2 Grammar Practice 7 relative Clauses






Chapter 2 Grammar Practice 8 Conjunctions and Prepositions






Chapter 2 Grammar Practice 9 Modification






Chapter 2 Grammar Practice 10 Pronouns






Chapter 2 Grammar Practice 11 Comparisons






Chapter 2 Grammar Practice 12 Conditionals






Review Test 2




Final Test




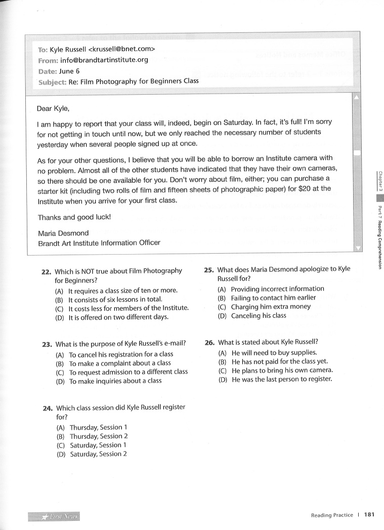
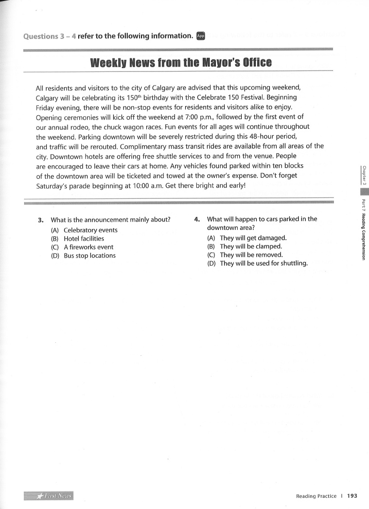
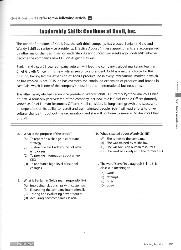
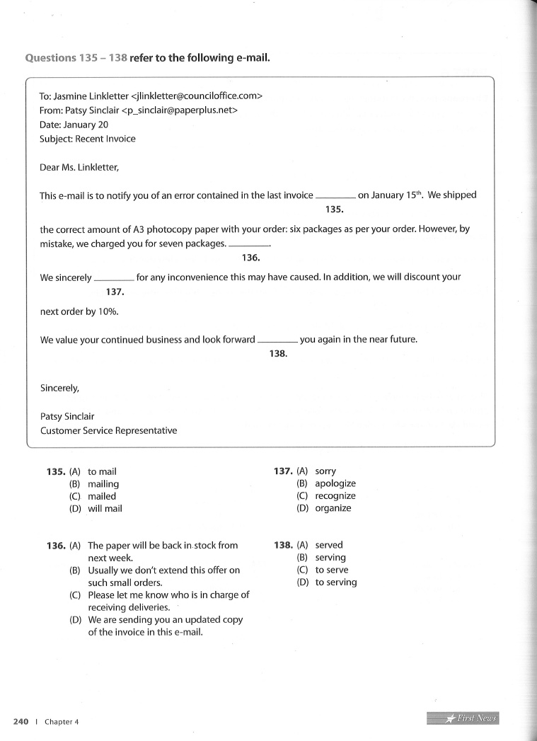
Chapter 3 Reading Practice
































































Chapter 4 Practice Test






































