Taking The TOEIC Skills and Strategies 1
| サイト: | イングリッシュセンターオンライン |
| コース: | Taking The TOEIC Skills and Strategies 1 Low Intermediate |
| ブック: | Taking The TOEIC Skills and Strategies 1 |
| 印刷者: | ゲストユーザ |
| 日付: | 2026年 04月 10日(金曜日) 09:25 |
説明

目次
- Chapter 1 Listening Practice Part 1 Photographs
- Chapter 1 Listening Practice Part 2 Questions and Responses
- Chapter 1 Listening Practice Part 3 Short Conversations
- Chapter 1 Listening Practice Part 4 Short Talks
- Chapter 2 Grammar Practice 1 Pronouns
- Chapter 2 Grammar Practice 2 Tenses
- Chapter 2 Grammar Practice 3 Agreement
- Chapter 2 Grammar Practice 4 Voice
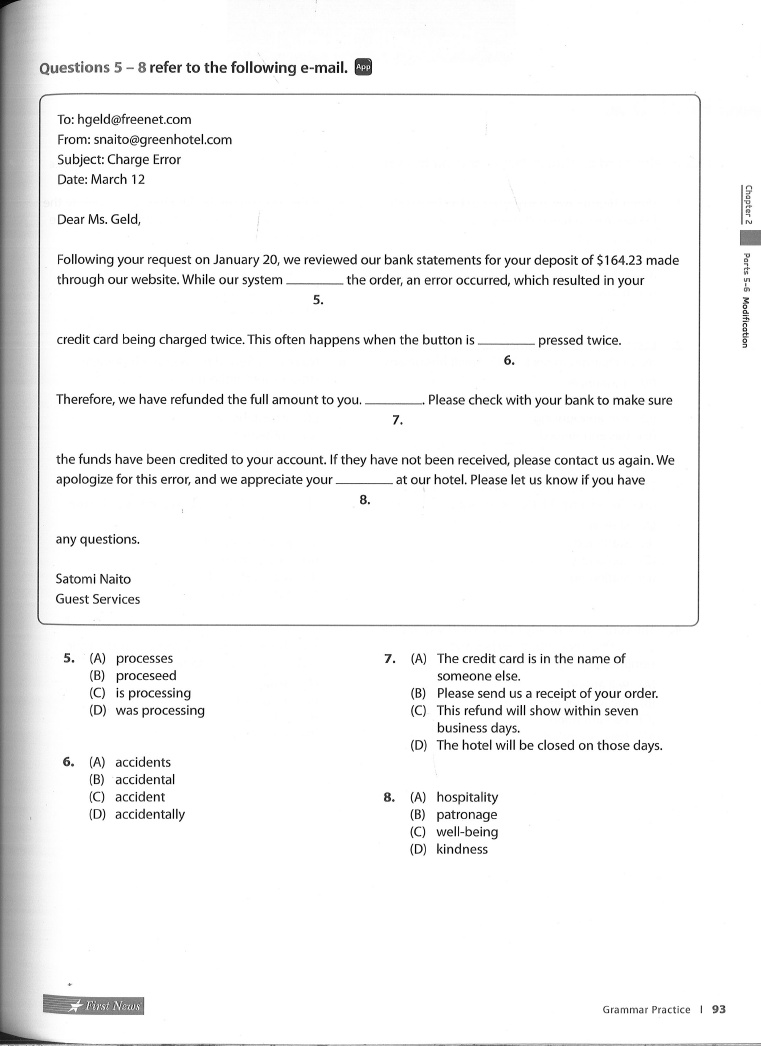
- Chapter 2 Grammar Practice 5 Modification
- Chapter 2 Grammar Practice Review Test 1
- Chapter 2 Grammar Practice 6 Inifinitives and Gerunds
- Chapter 2 Grammar Practice 7 Participles and Participle Clauses
- Chapter 2 Grammar Practice 8 Conjunctions and Prepositions
- Chapter 2 Grammar Practice 9 Comparisons
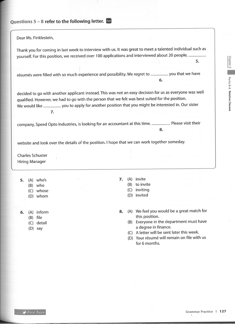
- Chapter 2 Grammar Practice 10 Relative Clauses
- Chapter 2 Grammar Practice Review Test 2
- Chapter 2 Grammar Practice Final Test
- Chapter 3 Reading Practice
- Chapter 4 Practice Test
Chapter 1 Listening Practice Part 1 Photographs

















Chapter 1 Listening Practice Part 2 Questions and Responses





Chapter 1 Listening Practice Part 3 Short Conversations












Chapter 1 Listening Practice Part 4 Short Talks












Chapter 2 Grammar Practice 1 Pronouns






Chapter 2 Grammar Practice 2 Tenses






Chapter 2 Grammar Practice 3 Agreement






Chapter 2 Grammar Practice 4 Voice






Chapter 2 Grammar Practice 5 Modification






Chapter 2 Grammar Practice Review Test 1




Chapter 2 Grammar Practice 6 Inifinitives and Gerunds






Chapter 2 Grammar Practice 7 Participles and Participle Clauses






Chapter 2 Grammar Practice 8 Conjunctions and Prepositions






Chapter 2 Grammar Practice 9 Comparisons






Chapter 2 Grammar Practice 10 Relative Clauses






Chapter 2 Grammar Practice Review Test 2




Chapter 2 Grammar Practice Final Test




Chapter 3 Reading Practice
























































Chapter 4 Practice Test











